Termination CAV14
基于trace abstraction的termination analysis(Ultimate)
基本原理
将程序视为黑盒,从中获取若干的trace。
每个抽样出的trace对应一个lasso结构的程序。如果可以为此简单形式的程序找到termination argument并证明(一部分方法见ranking function),则找出此证明适用的其他trace,并用程序表示之。这种共享同一个termination argument的trace的集合(有相同的终止证明),就是一个module。
用若干module去覆盖原始程序的所有trace,如果可行,则证明了原始程序是终止的。
形式化
基于trace的程序建模是由有限种的语句组成的。这些语句可以视为是一个字母表,即将statement当成是letter。w-trace是在这个字母表上的无穷串(后称trace)。
注意:因为trace只和程序的语句有关,所以一个程序的trace可能在语义上是走不通的,即程序里不存在和trace对应的路径。见下面的解释
trace虽然本身是无穷的,但可能语义上是终止的,即可能出现两种情况:
- 有一个有限长的前缀没有可能的执行路径,比如
- 虽然所有有限长的前缀都是可能的,但没有初始状态可以无限执行这个trace。比如
语义的定义比较传统,状态就是变量的valuation,每个语句都有前置/后置条件间的关系,按照霍尔逻辑来定义语句的执行
一个程序用CFG表示,节点是Location,边则用上述的字母表标识,有一个初始的节点。如果其所有trace都是终止的,称程序是终止的。
Module
Module是有一个惟一终止状态,且满足下列条件的程序:
这个程序是lasso形的。更形式化地说,就是CFG可以被划分成两部分U和V,初始状态在U里,终止状态在V里,且V不能转移到U(U可以转移到V)
Module也有trace,其中的一部分无限经常地经过终止状态。称这样的trace是fair的。
Module是终止的,只需要所有fair的trace是终止的。因此,Module可以看成是有公平性约束的程序。
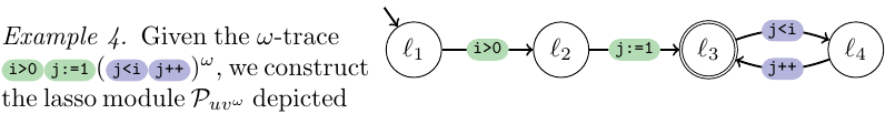
例:

Module终止性的证明
要证明Module是终止的,一样可以用ranking function,但因为module的公平性性质,实际上用到的ranking function不需要每次循环(或固定步长)都递减。只需要要求在每一次经过终止状态的时候,f都是递减的即可。形式化定义见paper
作者证明了,只要能找到f,则module是终止的。剩下的问题是验证f是ranking function
验证ranking function
这里用的是rank certificate,一种Floyd-Hoare风格的标记。
基本思想是:引入一个oldrnk变量,记录上一次经过终止状态时f的值。然后,找到一个映射I,为每一个CFG节点映射一组谓词。对这一映射的要求大体上就是,转移对应的三元组要满足霍尔逻辑,但有两个特殊之处:
- 初始状态对应的谓词中,oldrnk初始化为无限大
- 终止状态对应的谓词必须能推出,即f递减
- 从终止状态出发的转移,将oldrnk置为f(v)
具体的看paper
例:

有ranking function, 被标注的module称为是_certified module_(一种Floyd-Hoare Automata)
找到rank certificate的方法,可以是将module视作是普通的命令式程序,利用静态分析来求解,也可以利用生成ranking function时产生的supporting invariant来构造。
module的生成
虽然上面的方法可以验证f,但f本身并不好找。
文中的策略是,先为一个单独的trace对应的module找到termination argument,然后再找它能适用的更广的module,而不是反过来为module找argument。
假设有一个lasso形式的trace,要将它转换成module是trivial的

这种module可以被看作是有一个惟一循环的程序。可以用已有的一些Program Synthesis办法来生成f。得到f后,将其验证,得到一个certified module.
然后,应用下面两条规则来构建新的module(包含更多trace):
- 将有相同标记的状态合并

检查程序被module覆盖的方法
因为实际上module是Buchi自动机的特例(只有一个终止状态),而程序可以视作是所有状态都是终止状态的Buchi自动机。在这两种情况下,Buchi自动机接受的串,也就是语言,都对应一个trace。
所以,要证明程序的所有trace都被分解覆盖,只需证明
最终算法
- 检查是否还有trace没被覆盖,如果没有则证明了终止性,否则
- 将trace转换为简单的module,找_ranking function_,如果找不到,则证明失败(unknown),否则
- 用f将module标注,并用上述方法将其扩展,得到新的module,将其加入分解中

这里,检查是否还有trace没被覆盖, 是通过算BA的差实现的。这可以转换成将已有的module求补,然后和程序求交,检查其非空性。因为BA求补很困难(见Büchi automata),这一步是算法的瓶颈。