我们组的工作
Counterexample Generalization
Let be the formula and assigns to variable x, which is a violating model of
Variable Elimination
The formula is hence unsat.
By making hard and soft constraints, the unsat core signifies a subset of variables
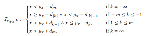
Boundary Constraints
Let D = d1, d2, … dm be a fixed set of distance with d0 =0, then the following formula
is unsat. The unsat core gives an interval to each variable.
The soft constraints here overlap, thus the obtained interval might not be the maximal ones
Interval Digging

and update the formula to:

The unsat core {} is joint and represent (possible several disjoint) interval for a variable,